產品分類
Product Classification推薦資訊
Latest Information- 濕法激光粒度儀和干法激光粒度儀的區別 04-11
- 干法激光粒度儀的結構和原理 04-11
- Zeta電位及Zeta電位分析儀 04-10
- 激光粒度儀在鋰電池正極材料粒度檢測中的應用 04-10
- 提升鋰電池能量密度的方法研究 04-10
- 激光粒度分析儀用于脂肪乳注射液粒度的研究 04-10
- 水泥密度測試方法研究 04-10
聯系我們
Contact Us電話 : 15021562539
QQ : 619163093
郵箱 : sales@dwshanghai.com
網址 : http://m.tcit.com.cn
地址 : 上海嘉定區華江路348號B座226室
產品名稱: BT-100通用粉體松裝密度測試儀
產品類型: 粉體特性測試儀
產品型號: 百特BT-100
發布時間: 2023-04-06
- 產品描述
百特BT-100粉體松裝密度測試儀介紹

BT-100一種通用型粉體松裝密度測試儀器,用于粉體的松裝密度測試。BT-100松裝密度測試儀滿足國家標準GB/T 16913-2008(粉塵物性試驗方法)的要求。廣泛用于制藥與食品、工業化學、能源電池粉末、科研院校、質檢機構等相關粉末粉體及顆粒材料檢測;可以提供粉體儲藏性質的變化,特別是在料倉中儲存情況等。
百特BT-100粉體松裝密度測試儀符合標準
滿足國家標準GB/T 16913-2008(粉塵物性試驗方法)的要求

百特BT-100粉體松裝密度測試儀操作步驟
● 倒入樣品:把空量杯放到天平上清零后放到測試儀下方平臺指定區域內,再將阻塞棒垂直插放到漏斗中堵住流出口,把待測粉體倒入測試儀器上方漏斗中。
● 拔出塞阻棒:拔出塞阻棒,使粉體通過漏斗出口流到量杯中。如果粉體潮濕,則需要事先進行干燥。干燥的方法是將粉體放到105℃的烘箱中烘干。如果粉體中有雜物,需要用80目的篩網除去雜物。
● 刮平:用刮板刮平量杯上突起的粉體,注意刮板與水平夾角為45°左右,沿單方向刮平。
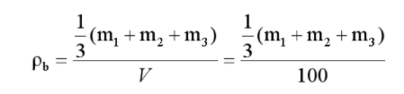
● 稱重:將刮平后的量杯放到已經去皮的天平上,稱量其中粉體的重量。同一個樣品要做三次測試,取其平均值為該樣品的松裝密度結果。這三次稱量的粉體的質量大值與小值之差應該小于1g,否則要重復測試,直到有三次質量的大值和小值之差小于1g為止。
百特BT-100粉體松裝密度測試儀試驗結果的計算

式中:

- 其他產品

滬公網安備31011402010444